
Rectifiers, especially single-phase bridge controllable rectifier circuits, are important and widely used circuits in power electronics technology, not only in general industry, but also in other fields such as transportation, power systems, communication systems, energy systems, etc. Therefore, comparative analysis and research on the relevant parameters of single-phase bridge controllable rectifier circuits and the working conditions of loads with different properties have strong practical significance. It is not only an important part of theoretical learning of power electronic circuits, but also has a predictive and guiding role in practical engineering applications.
2 single-phase bridge semi controlled rectifier circuits
In Figure 1, VT1 and VT2 are trigger pulses with a phase difference of 180 degrees? The thyristor, VD1 and VD2 are rectifier diodes, which form a single-phase bridge half controlled rectifier circuit. Resistance R and inductance L are the loads. Assuming inductance L is large enough, i.e., ω L ≥ R, since the current in the inductance cannot suddenly change, it can be assumed that the load current remains constant throughout the entire steady-state operation process. Due to the characteristics of the bridge structure, as long as the thyristor is conducting, a forward voltage is always applied to the load, and the load current always flows in one direction. Therefore, the bridge half controlled rectifier circuit can only operate in the front quadrant. Because ω L ≥ R, regardless of the value of the control angle α, the change in the load current id is very small.

Figure 1 Principle of Single phase Bridge Half controlled Rectification Circuit
At the positive half cycle of u2, a trigger pulse is applied to the thyristor VT1 at the trigger angle α, and u2 supplies power to the load through VT1 and VD4. When u2 crosses zero and becomes negative, the current no longer flows through the secondary winding of the transformer due to the effect of inductance, but is continued by VT1 and VD2. If the on state voltage drop of the device is ignored at this stage, the load voltage drop ud will not be negative. At the triggering angle α of the negative half cycle of u2, VT2 and VD3 are triggered to conduct, and a reverse voltage is applied to VT1 to turn it off. u2 supplies power to the load through VT2 and VD3. When u2 crosses zero and becomes positive, VD4 conducts and VD3 turns off. VT1 and VD4 continue to flow, and the load voltage drop ud becomes zero again.
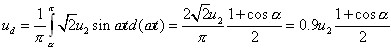
Based on the above analysis, the average output load voltage can be calculated as:

The phase shift range of the alpha angle is 180 °. The average value of output current is:

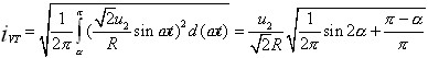
The average current flowing through the thyristor is only half of the average output DC value, that is:

Effective value of current flowing through thyristor:

The simulation model of the single-phase bridge semi controlled rectifier circuit is shown in Figure 2.

Figure 2 Simulation model of single-phase bridge semi controlled rectifier circuit
(1) Under pure resistive load conditions
Corresponding parameter settings: ① AC voltage source parameter U=100V, f=50Hz;② Thyristor parameters Rn=0.001 Ω, Lon=0H, Vf=0.8V, Rs=10 Ω, Cs=250e-6F;③ Load parameter R=10 Ω, L=0H,C=inf;④ The amplitude of pulse generator trigger signals 1 and 2 is 5V, with a period of 0.02s (i.e. frequency of 50Hz) and a pulse width of 2.
Set the initial phase of trigger signal 1 to 0s (i.e. 0 °) and the initial phase of trigger signal 2 to 0.01s (i.e. 180 °). The simulation results at this time are shown in Figure 3 (a); Set the initial phase of trigger signal 1 to 0.0025s (i.e. 45 °) and the initial phase of trigger signal 2 to 0.0125s (i.e. 225 °). The simulation results at this time are shown in Figure 3 (b).